Book Video Consultation

Book Video Consultation

Stay Home

No Waiting in lines

Audio/Video Call

PMC Verified Doctors

Talk to General Physician on ECG, BP

person-avatar

Asking for Father, Male, 58 years old, Karachi

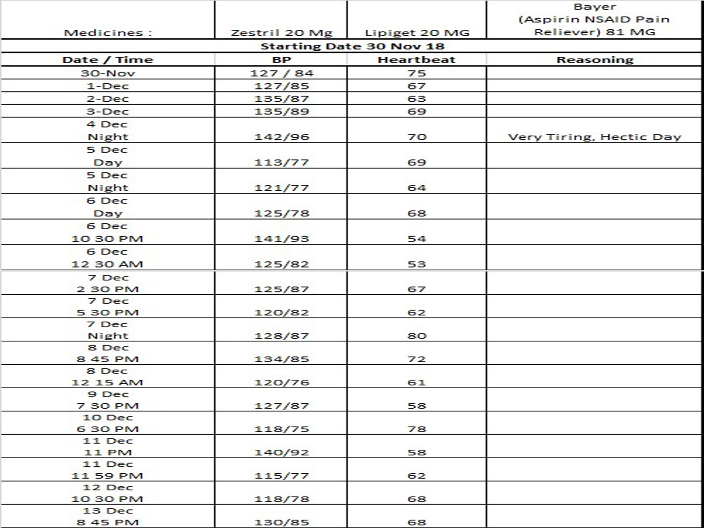
Yesterday BP Was High all night and even at morning whenever checked, also had heaviness/pain in left arm and chest. Went to check ECG. It was also got normal. At the time of ECG had pain as well but still ECG is fine. Right now at 8 39 PM (Dec 20), Complaining about heaviness left hand and at 10 PM he is saying now there is no pain.

Internal Medicine Specialist in Lahore - Assoc. Prof. Dr. Somia Iqtadar

Assoc. Prof. Dr. Somia Iqtadar - Internal Medicine Specialist

MBBS, FCPS (Medicine), FRCP (London) | Lahore

review-stars

571 Positive Reviews

Get his ETT


0

0

Internal Medicine Specialist in Karachi - Dr. Ayesha Nageen

Dr. Ayesha Nageen - Internal Medicine Specialist

MBBS, FCPS (Medicine) | Karachi

review-stars

68 Positive Reviews

he doesnt seem to have cardiac issue but he does need a light hypertensive medication hich he has to eat regularly. it might seem to be a needs to see a consultant physician for a checkup


0

0

Attach Photo here: