Book Video Consultation

Book Video Consultation

Stay Home

No Waiting in lines

Audio/Video Call

PMC Verified Doctors

Talk to General Physician on Surgery Case Or Not ..?

person-avatar

Asking For Brother, Male 37, Karachi

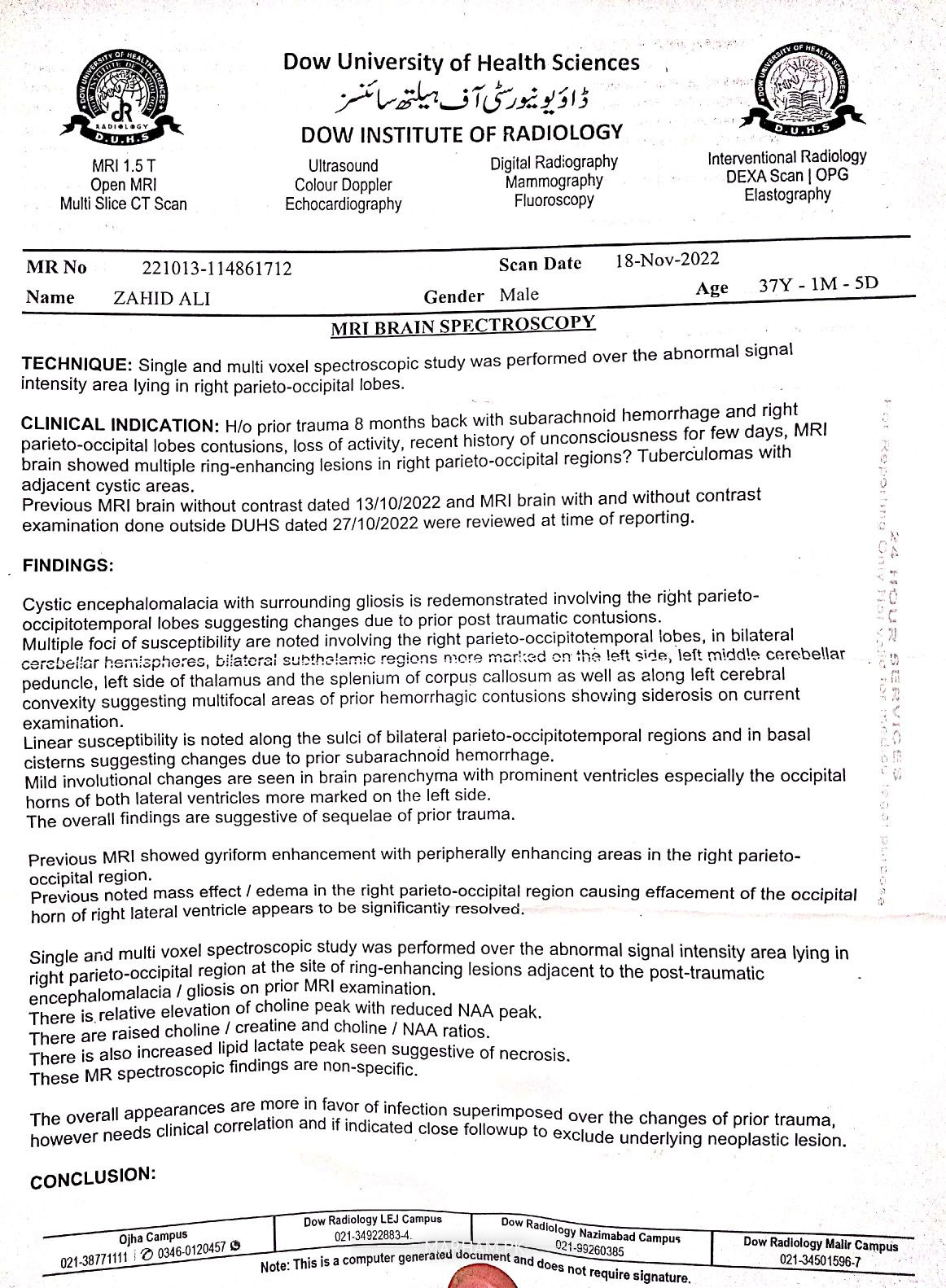
Mere Bhai Jo K 10 Month Phale Feb Me Seeriyon Se Gire The Shyd Jin ka Takreebin 10 month se 1 2 Mukhtalif Jaga se ilaj Chal raha hai lakin Jo Batree Aani Chahiye thi Wo Nhe Aaii hai Shurwat me wo 20 din tak behosh hote The Un k baad Kuch Hosh aya phale 3 4 month kuch bahtre aaii Thi Us k Baad Wesa he Hai Takreebin . Ghoomne Me Hath se pakar Kar jate Har jaga Bohot mukhtasir baat karte Kabi Bohot chirte purani Cheezain Zayda yaad nhe unko lakin pehchante Sub Ko Hain har kisse ko .. Ye Kuch MRi Ki Reports Hain dekh K Koi Bhater Cheez bata Sekhte Doctors To shyd Kuch bhater Option mil jaii Humhain .

Internal Medicine Specialist in Karachi - Dr. Syed Sardar Ali

Dr. Syed Sardar Ali - Internal Medicine Specialist

MBBS, FCPS (Medicine) | Karachi

review-stars

759 Positive Reviews

brain mein infection hay kissi qabil neurosurgeon say consult karaiin


1

0

General Physician in Karachi - Homayoun Sheikh

Homayoun Sheikh - General Physician

MD, Specialty Certificate (Acute Medicine) UK, MRCP (UK), Post Graduate Diploma of cardiologist (UK) | Karachi

review-stars

633 Positive Reviews

need to be visited by a specialist physician ASAP


0

0

Member of Marham-Forum

I am Dr Abdul Mannan
For physical consultation
SARF Hospital F10 Markiz Islamabad.
For OnLine consultation Book appointment through Mehram.
Or Directly whatsaap me
0/3/4/5/3/0/2/4/1/4/4

General Physician in Bahawalpur - Dr. Ahmed Farhan Ghouri

take an appointment, for consultant opinion ,fees only 200 rupees


0

0

General Physician in Islamabad - Dr. Rabia Tahir

Dr. Rabia Tahir - General Physician

MBBS | Islamabad

review-stars

6 Positive Reviews

Kindly get an appointment with a recognised neuro surgeon in your area.


1

0

Attach Photo here: