Book Video Consultation

Book Video Consultation

Stay Home

No Waiting in lines

Audio/Video Call

PMC Verified Doctors

Talk to Rheumatologist on Bones And Joints

person-avatar

Asking for Mother, Female, 66 years old, lahore

2 saal say bones and joints ka treatment ho raha hai but koi farq nahe para . ab Dr nay test karwaey hain. MRI and bone scanning. her test k baad dosra test recommend kar detay ap help karain or batain kia masla hai. i am dropping reports

Member of Marham-Forum

Would you like to talk to a Rheumatologist through online consultation?
https://www.marham.pk/online-consultation

Physiotherapist in Islamabad - Dr.  Zahra Sundas Pt

Dr. Zahra Sundas Pt - Physiotherapist

DPT | Islamabad

review-stars

8 Positive Reviews

Ye age ziada hone ki waja se masley ho jatey hain bones and joints k .. me Apko yahi suggest karungi k apki age k mutabik Apko medicines pe ziada focus nhi krna chahye ... ap physiotherapy sessions lein kyun k us se recovery k chances Boht hotey hain is age me bhi Aur Apko diet bhi bta Di jayegi k ap ne kia kia use krna hy is age me .. Baki details k liye ap contact kr sakti hain Marham k through. Thankyou


0

0

Member

Post Owner


AOA! Ap nay reports check key hain. kitni problem hai un main. kya ap koi grading ya % mein describe kar sateen hain. koi khatanak baat tu ni hai. recoverable hain?

5 years ago

Physiotherapist in Islamabad - Dr.  Zahra Sundas Pt

Dr. Zahra Sundas Pt - Physiotherapist

DPT | Islamabad

review-stars

8 Positive Reviews

Mujhe reports nhi show ho rahi apki ... ap mujhe bhej dein tou me dekh leti hun


0

0

Member

Post Owner


we have around 11 reports (MRI, Bone Scan, altra sound, LFT, Kidney, CBC ets. in portal only one attachment is allowed. how we can send you all reports

5 years ago

Member

Post Owner


report

5 years ago

Member

Post Owner


report

5 years ago

Member

Post Owner


report

5 years ago

Member

Post Owner


report

5 years ago

Member

Post Owner


report

5 years ago

Member

Post Owner


report

5 years ago

Member

Post Owner


report

5 years ago

Physiotherapist in Islamabad - Dr.  Zahra Sundas Pt
Dr. Zahra Sundas Pt - Physiotherapist

DPT | Islamabad | Book Appointment

review-stars 5 Positive Reviews

Ye Apko Marham k through bhejni pareygi...

5 years ago

Member

Post Owner


report

5 years ago

Physiotherapist in Islamabad - Dr.  Zahra Sundas Pt
Dr. Zahra Sundas Pt - Physiotherapist

DPT | Islamabad | Book Appointment

review-stars 5 Positive Reviews

Reports Aese show nhi ho rahi bhi

5 years ago

Physiotherapist in Islamabad - Dr.  Zahra Sundas Pt

Dr. Zahra Sundas Pt - Physiotherapist

DPT | Islamabad

review-stars

8 Positive Reviews

You can consult online with Zahra Sundas

Book Online Consultation here:

https://www.marham.pk/personal/17352 You can contact me through this I will guide you further


0

0

Physiotherapist in Islamabad - Dr.  Zahra Sundas Pt

Dr. Zahra Sundas Pt - Physiotherapist

DPT | Islamabad

review-stars

8 Positive Reviews

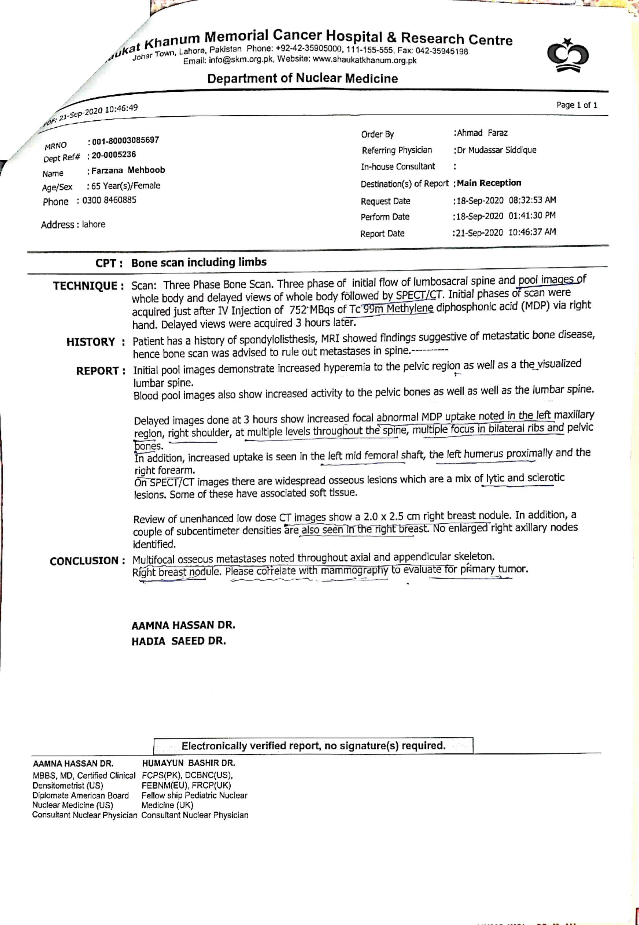
Mene reports dekh li hain ... inko blood ki kami hy is k liye ap proper diet rakhein .. and Aur ziada age me bones and joints me degenerative changes ho jati hain . Bones kamzor ho jatey hain n fluid khatam ho jata hy andr... back bone thori c Hili hui hy apni jagah se. Aur breast k liye Apko yahi suggest karungi k ap cancer k kisi specialist ko dikhayein .. Uris acid bhi ziada hy body me ... thankyou


0

0

Member of Marham-Forum

first you have to confirm what kind of arthrits you are facing if you what's app your report to me on 042-32380080, may I help you


0

0

Attach Photo here: